현인
인터넷의 동작 원리, 웹과 인터넷의 차이 본문
인터넷은 컴퓨터들이 서로 통신 가능한 거대한 네트워크 인프라이다. 인터넷은 기술 인프라이며 웹은 그 위에서 동작하는 하나의 서비스일 뿐이다.
인터넷은 어떻게 구성되어 있는가?
두 개의 컴퓨터가 통신이 필요하다면, 우리는 두 컴퓨터를 물리적인 방법(보통 이더넷 케이블) 혹은 무선(Wifi나 Bluetooth 시스템)으로 연결해야 한다. (이 글의 예제들은 유선 케이블이지만, 무선 네트워크도 동일한 방식이다.)

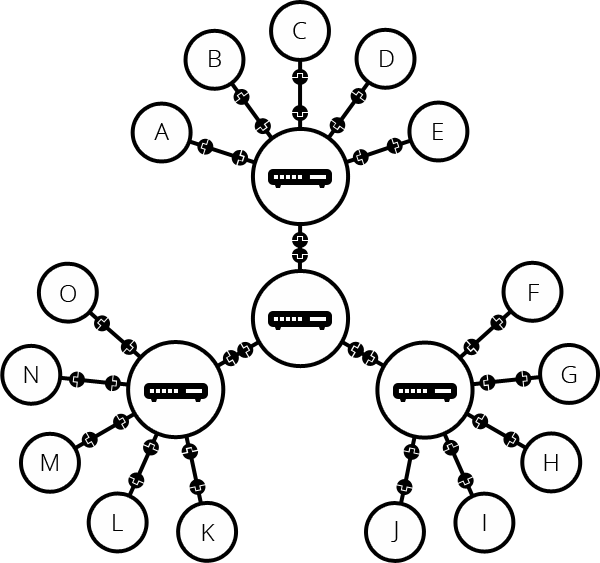
하지만 이 세상은 두 대의 컴퓨터만 존재하진 않는다. 10대의 컴퓨터를 서로서로 모두 연결한다고 가정해보면, 컴퓨터당 9개의 플러그가 달려야 하고, 총 45개의 케이블이 필요해진다.

이 문제를 해결하기 위해 각 컴퓨터는 라우터라고하는 특수한 소형 컴퓨터에 연결된다. 라우터는 단 하나의 작업만을 처리한다. A에서 B로 메시지를 보낼 때, A는 라우터로 B라는 메시지를 보내달라 요청하고, 라우터는 C나 D가 아닌 B로 정확히 보내주기만 하면 된다.

이처럼 중간에 라우터를 둘 경우, 10대의 컴퓨터는 라우터를 향한 연결만을 가지면 되기에, 10개의 플러그와 10개의 케이블만 필요해진다. 하지만 이 세상에는 수십억 대의 컴퓨터가 존재한다. 단 하나의 라우터로 이 많은 컴퓨터들을 연결할 수는 없다. 어떻게 연결을 해야할까? 라우터는 소형 컴퓨터라 했다. 그렇다면 라우터와 라우터도 연결가능하다는 것이다. 컴퓨터를 라우터에 연결하고 라우터에서 라우터로 무한하게 확장할 수 있다는 뜻이다.


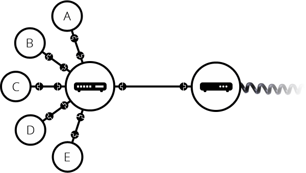
이러한 네트워크 구조는 우리가 인터넷이라고 부르는 것에 매우 가깝다. 여기서 더 고민해볼 것이 있다. 이렇게 구축된 네트워크가 다른 곳에도 존재한다고 했을 때 두 네트워크를 연결할 방법이 있을까? 쉽게 말해, 우리집에 있는 컴퓨터를 다 연결했다고 해서 친구 집 컴퓨터에 메시지를 보낼 수 없다는 것이다. 우리 집 네트워크를 벗어나서 외부에 구성된 네트워크와도 연결해야 하는데, 그 거리가 멀어진다면 물리적인 연결에는 한계가 생긴다.
그럼 어떻게 이 문제를 해결할 수 있을까? 전화기를 생각해보자. 전화기 기반 시설들은 전 세계 어느곳과도 연결이 되어 있다. 이는 곧 우리가 필요로 하는 완벽한 배선이라고 할 수 있다. 다시 말해, 우리의 네트워크를 전화 시설에 연결하면 지구 반대편에 있는 네트워크로 보낼 수 있다. 다만 네트워크상에서 처리되는 정보와 전화 시설에서 처리하는 정보의 방식이 다르기에 전화 시설을 통해 전달할 수 있는 형태로 변경할 수 있는 모뎀이라는 특수 장비가 필요하다. 전화 신호는 아날로그 신호이기에, 모뎀을 통해 디지털 신호를 아날로그 신호로 변경하며, 반대의 경우도 가능하다.

전화 시설에 연결된다고 끝이 아니다. 전화 시설은 그저 통로일 뿐이고, 우리가 목적지로 삼고 있는 네트워크로 보낼 방법이 필요하다. 이를 도와주는 것이 인터넷 서비스 제공 업체(Internet Service Provider, ISP)다. ISP는 모두 함께 연결되는 몇몇 특수한 라우터를 관리하고 다른 ISP의 라우터에도 액세스 할 수 있는 회사다. ISP는 다른 ISP의 라우터에도 액세스 할 수 있기에, 우리의 네트워크를 ISP에 연결해서 목적지가 포함된 네트워크가 존재하는 ISP로 보낼 수 있게 되는 것이다.
정리하면, 모뎀을 통해 아날로그 신호로 변경된 데이터는 ISP로 보내지고, ISP를 통해 목적지가 있는 네트워크가 연결된 ISP로 전달된다.

여기서 A → B’ 로 메시지를 보내고 싶다고 하면, 다음과 같이 보내진다.
A → 라우터 → 모뎀(디지털 → 아날로그) → A가 포함된 네트워크와 연결된 ISP → B’가 포함된 네트워크와 연결된 ISP → 모뎀(아날로그 → 디지털) → 라우터 → B’
인터넷은 이러한 인프라로 구성된다.
컴퓨터 찾기
인프라까지는 이해가 됐지만 구체적인 방법이 궁금하다. 어떻게 컴퓨터를 찾아가는 것일까? 어떤 메시지가 보내지고 있길래 알맞은 컴퓨터로 향할 수 있었을까?
우리는 집이 어디냐고 물어보면, 주소를 통해 우리가 사는 곳의 정보를 정확히 전달할 수 있다. 컴퓨터도 그렇다. 네트워크에 연결된 모든 컴퓨터는 각각 IP 주소(예: 192.168.2.10)라는 고유한 주소를 가진다.
컴퓨터는 이러한 주소로 다른 컴퓨터를 찾아가는데 문제가 없지만 우리는 IP 주소를 기억하기 어렵다. 그래서 도메인 이름(Domain Name)이라고 하는 사람이 읽을 수 있는 IP 주소의 이름을 지정할 수 있다. 예를 들어, ‘google.com’ 은 IP 주소로 ‘173.194.121.32’이다. 도메인 이름을 IP로 변경해주는 DNS 서버에 대해선 따로 글을 정리할 것이다.
인터넷과 웹
웹 브라우저를 사용하여 웹을 탐색 할 때 일반적으로 도메인 이름을 사용하여 웹 사이트에 접속한다. 그것은 인터넷과 웹이 같은 것을 의미할까? 그렇게 간단하지 않다. 인터넷은 수십억 대의 컴퓨터를 연결하는 기술 인프라이고 이러한 컴퓨터들 중에 일부는 ‘웹 서버’로서 웹 브라우저가 이해할 수 있는 서비스를 제공한다.
다시 말해, 인터넷은 결국 기술 인프라고 그 인프라 위에 구축된 서비스 중 하나가 웹 서비스인 것이다. 웹 뿐만 아니라 인터넷 위에 구축된 다른 서비스들(이메일, IRC 등)도 있음을 알아야 한다.
인트라넷과 엑스트라넷
인트라넷은 특정 조직의 구성원들만 접근 할 수 있는 사설 네트워크이다. 구성원들이 공유 리소스에 안전하게 접근하고, 협업하며 소통할 수 있는 포털을 제공하는 데 사용된다. 예를 들어, 조직의 인트라넷은 부서나 팀 정보를 공유하는 웹 페이지, 주요 문서와 파일을 관리하는 공유 드라이브, 업무 관리 작업을 수행하는 포털, 위키, 토론 게시판, 메시징 시스템과 같은 협업 도구를 호스팅할 수 있다.
엑스트라넷은 인트라넷과 매우 유사하지만, 다른 조직과의 공유와 협업을 위해 사설 네트워크의 전체 또는 일부를 개방한다는 점이 다르다. 이는 일반적으로 기업과 긴밀히 협력하는 고객 및 이해관계자들과 안전하고 보안성 있게 정보를 공유하는 데 사용된다. 정보 및 파일 공유, 협업 도구, 토론 게시판 등 인트라넷이 제공하는 기능과 유사한 기능을 제공한다.
인트라넷과 엑스트라넷 모두 인터넷과 동일한 종류의 인프라에서 실행되며 같은 프로토콜을 사용한다. 따라서 권한을 부여받은 구성원들은 서로 다른 물리적 위치에서도 접근할 수 있다.

마치며
개발을 하다보면 당연하게 생각하는 것들이 궁금해지는 것 같다. 인터넷에 대해 내가 모르겠나 싶었지만 막상 찾아보니 모르는 것들 투성이더라. 앞으로는 당연하게 생각했던 것들에 대해 조금씩 알아가려고 한다.
출처
'CS 학습 > WEB' 카테고리의 다른 글
| Robots.txt 알아보기 (2) | 2024.11.27 |
|---|---|
| 웹 브라우저는 무엇이며, 어떻게 동작하는가? (1) | 2024.10.29 |
| REST (2) | 2024.02.07 |
| CSR과 SSR (1) | 2023.06.23 |